An Activity Network Diagram (AND) is an essential tool for planning, scheduling, and controlling projects. In Six Sigma, it supports teams in managing complex improvement initiatives. It offers a visual roadmap to track sequences, durations, and dependencies.
By mapping activities, you can spot risks, optimize timelines, and improve resource allocation. ANDs are especially helpful in DMAIC projects, where understanding task relationships is key.
This guide explains how Activity Network Diagrams work and how to apply them in Six Sigma projects.
- What Is an Activity Network Diagram?
- Why Use Activity Network Diagrams in Six Sigma?
- Key Elements of an Activity Network Diagram
- Two Main Types: AON vs AOA
- Building an Activity Network Diagram: Step-by-Step
- Example: Activity Network Diagram for a DMAIC Project
- What Is the Critical Path Method (CPM)?
- Using Float to Manage Resources
- Integrating ANDs in the DMAIC Framework
- Common Challenges and How to Avoid Them
- Software Tools to Create Activity Network Diagrams
- Case Study: Improving Lead Time in Customer Support
- When to Use an Activity Network Diagram in Six Sigma
- Conclusion
What Is an Activity Network Diagram?
An Activity Network Diagram shows the sequence of tasks in a project. Each task is displayed as a node or arrow, depending on the diagram style. Arrows indicate dependencies between activities.

The diagram shows how tasks connect. It also shows which activities can run in parallel and which ones must wait.
In Six Sigma, this visibility improves planning and execution. You can focus efforts where they matter most.
Other names for this tool include:
- Project Network Diagram
- Activity-On-Arrow (AOA) Diagram
- Activity-On-Node (AON) Diagram
- Critical Path Diagram
Why Use Activity Network Diagrams in Six Sigma?
Six Sigma aims to reduce variation and improve process quality. To achieve this, projects must follow a structured path. Activity Network Diagrams help teams deliver consistent results.
They are especially useful for:
| Benefit | Explanation |
|---|---|
| Sequencing tasks | Shows which activities must occur first |
| Estimating time | Helps predict project duration accurately |
| Finding critical tasks | Identifies tasks that can’t be delayed |
| Reducing project delays | Helps manage float and avoid bottlenecks |
| Coordinating cross-functional work | Makes interdepartmental tasks clear |
| Improving team communication | Offers visual clarity on who does what and when |
Six Sigma projects often involve multiple stakeholders. A clear diagram keeps everyone on the same page.
Key Elements of an Activity Network Diagram
To build an effective diagram, you need to understand its components.
| Element | Description |
|---|---|
| Activity | A task or work item that takes time and resources |
| Node | A visual representation of an activity or milestone |
| Arrow | Shows the direction of task flow and dependencies |
| Start Event | First task in the process or project |
| Finish Event | Last task or goal to be completed |
| Duration | The amount of time an activity takes |
| Dependency | The relationship between activities |
Each of these parts connects to form a visual project roadmap.
Two Main Types: AON vs AOA
There are two major types of Activity Network Diagrams:
| Type | Description | Use Case |
|---|---|---|
| Activity-On-Arrow (AOA) | Uses arrows to represent activities; nodes are events (start or end of an activity) | Used in traditional project scheduling |
| Activity-On-Node (AON) | Uses boxes (nodes) to show activities; arrows represent dependencies | Common in modern Six Sigma projects |
Most Six Sigma professionals use AON diagrams. They are simpler to read, easier to create, and more flexible.
Building an Activity Network Diagram: Step-by-Step
Let’s walk through the process of creating one. This example uses the AON format.
Step 1: List All Project Activities
Start with a Work Breakdown Structure (WBS). Break the project into individual tasks.
Example:
| Activity ID | Task Description | Estimated Duration (Days) |
|---|---|---|
| A | Define the project scope | 2 |
| B | Identify stakeholders | 1 |
| C | Collect baseline data | 3 |
| D | Analyze current process | 4 |
| E | Develop improvement plan | 3 |
| F | Implement improvement | 5 |
| G | Validate and document results | 2 |
Step 2: Identify Dependencies
Determine which activities depend on others.
| Activity | Must Follow |
|---|---|
| A | None |
| B | A |
| C | A |
| D | C |
| E | D |
| F | E |
| G | F |
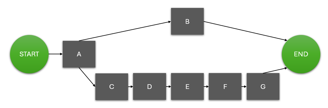
Step 3: Draw the Diagram
Use rectangles for activities. Draw arrows between them based on dependencies.

This visual shows the flow of tasks and where parallel work can occur.
Step 4: Add Durations
Mark the estimated duration on each activity.

Step 5: Identify the Critical Path
The critical path is the longest route from start to finish. It determines the shortest possible project duration.
In this example:
- Path 1: A → B = 2 + 1 = 3 days
- Path 2: A → C → D → E → F → G = 2 + 3 + 4 + 3 + 5 + 2 = 19 days
The second path is the critical path. Any delay here delays the entire project.
Example: Activity Network Diagram for a DMAIC Project
Let’s look at an example of an activity network diagram in a real Six Sigma context. This project aims to reduce the defect rate in a welding process.
| Task | Duration | Predecessor(s) |
|---|---|---|
| A: Define problem | 1 day | — |
| B: Measure defect baseline | 3 days | A |
| C: Analyze root causes | 4 days | B |
| D: Test solutions | 2 days | C |
| E: Train operators | 2 days | D |
| F: Implement controls | 3 days | E |
| G: Final audit | 1 day | F |
Critical Path: A → B → C → D → E → F → G = 16 days
Tasks outside this path may have float. But any delay along the critical path extends the project.
What Is the Critical Path Method (CPM)?
The Critical Path Method is a scheduling tool that uses activity network diagrams to calculate:
- Earliest start time (ES)
- Earliest finish time (EF)
- Latest start time (LS)
- Latest finish time (LF)
- Slack or float
It helps identify which tasks require strict attention.
CPM Example
Suppose you have this data:
| Activity | Duration | Predecessor |
|---|---|---|
| A | 2 days | — |
| B | 3 days | A |
| C | 4 days | A |
| D | 5 days | B, C |
Two paths exist:
- A → B → D = 2 + 3 + 5 = 10 days
- A → C → D = 2 + 4 + 5 = 11 days
The second path is longer. It’s the critical path. Delays here will impact delivery.
Using Float to Manage Resources
Float is the amount of time a task can be delayed without affecting the project’s end date.
Knowing float helps managers:
- Reassign underutilized team members
- Focus resources on critical activities
- Prevent schedule bottlenecks
You can calculate float using:
Float = LS – ES
or
Float = LF – EF
If float = 0, the activity is on the critical path.
Integrating ANDs in the DMAIC Framework
Activity Network Diagrams can support every phase of DMAIC:
| DMAIC Phase | How AND Helps |
|---|---|
| Define | Clarifies scope and major milestones |
| Measure | Schedules data collection and validation efforts |
| Analyze | Structures root cause analysis activities |
| Improve | Aligns pilot testing, training, and implementation |
| Control | Helps plan audits, documentation, and monitoring reviews |
Let’s go deeper.
Define Phase
Use an AND to lay out project kickoff activities. Include stakeholder alignment, charter approval, and initial risk assessments.
Measure Phase
Sequence the data collection plan. Make sure all variables are gathered before statistical analysis starts.
Analyze Phase
Use the diagram to schedule cause-and-effect mapping, hypothesis testing, and Pareto analysis.
Improve Phase
Coordinate pilot runs, improvement actions, and team training. Use the diagram to prevent overlapping efforts.
Control Phase
Plan follow-up audits and documentation efforts. Visualize timing for control charts and process monitoring.
Common Challenges and How to Avoid Them
Despite their strengths, activity network diagrams have pitfalls.
| Challenge | Solution |
|---|---|
| Too many tasks in one diagram | Break the project into sub-projects |
| Incorrect task durations | Use data from past projects or consult subject matter experts |
| Missed dependencies | Review with stakeholders and cross-functional teams |
| Diagram becomes outdated | Update regularly as work progresses |
Frequent reviews keep your diagram relevant and useful.
Software Tools to Create Activity Network Diagrams
You don’t have to draw diagrams by hand. Use software to save time and increase accuracy.
| Tool | Best For | Key Features |
|---|---|---|
| Microsoft Project | Enterprise-level planning | Gantt charts, CPM, resource allocation |
| Lucidchart | Quick visual planning | Drag-and-drop interface, real-time sharing |
| SmartDraw | Process documentation | Templates for Six Sigma and project diagrams |
| Excel | Simple, low-cost setups | Custom shapes and connectors |
| Primavera P6 | Large-scale industrial projects | Advanced scheduling and cost control |
Choose a tool that fits your team’s size, complexity, and budget.
Case Study: Improving Lead Time in Customer Support
A telecom company used Six Sigma to reduce support ticket lead times.
Project Goal
Cut average resolution time from 5 days to 2 days.
Tasks Included
- Define issue and set baseline
- Map customer complaint process
- Collect data from CRM
- Analyze root causes
- Test automation tools
- Train support agents
- Implement workflow changes
- Measure final outcomes
The team used an AON diagram to:
- Spot redundant steps
- Prioritize testing over manual solutions
- Track rollout and training activities
They used the critical path to identify where delays would hit hardest. As a result, they cut resolution time to 1.8 days—a 64% improvement.
When to Use an Activity Network Diagram in Six Sigma
Use ANDs whenever you need to map task sequences and avoid delays.
| Use Case | DMAIC Phase | Why It Matters |
|---|---|---|
| Project planning and scope definition | Define | Sets expectations early |
| Data collection sequence | Measure | Ensures data is ready before analysis |
| Structuring experiments or trials | Analyze | Prevents overlapping root cause tests |
| Coordinating rollout of improvements | Improve | Keeps teams on schedule |
| Audit and documentation planning | Control | Helps maintain process improvements over time |
Conclusion
Activity Network Diagrams are a powerful planning tool in Six Sigma. They show the big picture while highlighting critical paths, slack time, and dependencies. This insight improves team coordination, minimizes delays, and ensures projects hit their goals.
Whether you’re launching a new process, fixing a bottleneck, or rolling out training, ANDs give your project structure. They bring clarity to complexity and help you lead with confidence.
Master this tool and add precision to every project phase.




